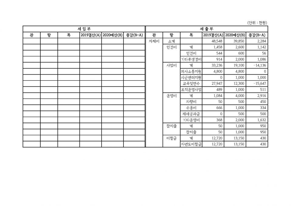
경기도수어통역센터지원본부 2019년도 후원금 결산 및 2019년도 결산, 2020년 예산을 공고합니다.
일시 : 2019. 01. 01 ~ 2019. 12. 31
내용 : 1. 2019년도 경기도수어통역센터지원본부 후원금 결산서 공고 2. 2019년도 경기도수어통역센터지원본부 결산 및 2020년도 예산서 공고
2025년 경기도 농문화제 및 수어경연대회
경기도수어통역센터 지역지원본부 2024년도 후원금 결산 및 2024년도 결산·2025년도 예산 공고
경기도농아인협회 2024년도 후원금 결산 및 2024년도 결산·2025년도 예산 공고
경기도농아인협회 직업재활지원센터 계약직 채용 2차 공고
(설문조사) 2020년 8월에 보고 싶은 자막영화
한국농아인협회에서 2020년 8월에 보고 싶은 [가치봄-한글자막 화면해설 영화]와 관련하여 설문조사를 진행합니다. 아래 링크를 통해 설문조사에 참여하여주시기 바랍니다. * 링크주소 : http://naver.me/xXNYEDyF *...
[채용마감]경기도농아인협회 운전원 채용공고
[채용마감] 2020년 경기도농아인협회 직업재활지원센터 함께 할 직원 모집합니다.
[채용완료] 경기도농아인협회 미디어접근지원센터 대체인력 채용공고
File Download : 이력서.hwp
[경기도수어교육원] 제16회 국가공인수화통역사 필기시험 대비 특강 모집
File Download : 2020 필기대비특강신청서.hwp
[이젠, 경기도청 홈페이지에서도 '경기농아방송'을 볼 수 있어요!]
경기도청 홈페이지에서도 '경기농아방송' 바로 시청가능 https://www.gg.go.kr/bbs/board.do?bsIdx=504&menuId=1878#page=1
농인&청각장애인 대상 수어서비스 안내
경기도농아인협회 2019년도 후원금 결산 및 2019년도 결산, 2020년 예산 공고
경기도농아인협회 2019년도 후원금 결산 및 2019년도 결산, 2020년 예산을 공고합니다. 일시 : 2019. 01. 01 ~ 2019. 12. 31 내용 : 1. 2019년도 경기도농아인협회 후원금 결산서 및 개별내역 공고 2. 2019년도 경기...
경기도수어통역센터지원본부 2019년도 후원금 결산 및 2019년도 결산, 2020년 예산 공고
경기도수어통역센터지원본부 2019년도 후원금 결산 및 2019년도 결산, 2020년 예산을 공고합니다. 일시 : 2019. 01. 01 ~ 2019. 12. 31 내용 : 1. 2019년도 경기도수어통역센터지원본부 후원금 결산서 공고 2. 2019년...
게시글을 작성하셨던 닉네임을 입력 후, 검색해주세요.
쓰기 버튼을 눌러서, 새로운 글을 작성하실 수도 있습니다.
경기도농아인협회
공지사항
경기도수어통역센터지원본부 2019년도 후원금 결산 및 2019년도 결산, 2020년 예산을 공고합니다.
일시 : 2019. 01. 01 ~ 2019. 12. 31
내용 : 1. 2019년도 경기도수어통역센터지원본부 후원금 결산서 공고
2. 2019년도 경기도수어통역센터지원본부 결산 및 2020년도 예산서 공고
2025년 경기도 농문화제 및 수어경연대회
경기도수어통역센터 지역지원본부 2024년도 후원금 결산 및 2024년도 결산·2025년도 예산 공고
경기도농아인협회 2024년도 후원금 결산 및 2024년도 결산·2025년도 예산 공고
경기도농아인협회 직업재활지원센터 계약직 채용 2차 공고
(설문조사) 2020년 8월에 보고 싶은 자막영화
한국농아인협회에서 2020년 8월에 보고 싶은 [가치봄-한글자막 화면해설 영화]와 관련하여 설문조사를 진행합니다. 아래 링크를 통해 설문조사에 참여하여주시기 바랍니다. * 링크주소 : http://naver.me/xXNYEDyF *...
[채용마감]경기도농아인협회 운전원 채용공고
[채용마감] 2020년 경기도농아인협회 직업재활지원센터 함께 할 직원 모집합니다.
[채용완료] 경기도농아인협회 미디어접근지원센터 대체인력 채용공고
File Download : 이력서.hwp
[경기도수어교육원] 제16회 국가공인수화통역사 필기시험 대비 특강 모집
File Download : 2020 필기대비특강신청서.hwp
[이젠, 경기도청 홈페이지에서도 '경기농아방송'을 볼 수 있어요!]
경기도청 홈페이지에서도 '경기농아방송' 바로 시청가능 https://www.gg.go.kr/bbs/board.do?bsIdx=504&menuId=1878#page=1
농인&청각장애인 대상 수어서비스 안내
경기도농아인협회 2019년도 후원금 결산 및 2019년도 결산, 2020년 예산 공고
경기도농아인협회 2019년도 후원금 결산 및 2019년도 결산, 2020년 예산을 공고합니다. 일시 : 2019. 01. 01 ~ 2019. 12. 31 내용 : 1. 2019년도 경기도농아인협회 후원금 결산서 및 개별내역 공고 2. 2019년도 경기...
경기도수어통역센터지원본부 2019년도 후원금 결산 및 2019년도 결산, 2020년 예산 공고
경기도수어통역센터지원본부 2019년도 후원금 결산 및 2019년도 결산, 2020년 예산을 공고합니다. 일시 : 2019. 01. 01 ~ 2019. 12. 31 내용 : 1. 2019년도 경기도수어통역센터지원본부 후원금 결산서 공고 2. 2019년...